Benchmark Problems

In this section several benchmark problems are introduced illustrating the capabilities of PFLOTRAN.

Ion Exchange

Voegelin et al. (2000) present results of ion exchange in a soil column for the system Ca-Mg-Na. Here PFLOTRAN is applied to this problem using the Gaines-Thomas exchange model. Soil column C1 with length 48.1 cm and diameter 0.3 cm was used for the simulations. A flow rate of 5.6 cm/min was used in the experiment. The inlet solution was changed during the coarse of the experiment at 20 and 65 pore volumes with cation compositions listed in Table 2 of Voegelin et al. (2000). The CEC of the soil used in the experiments was determined to have a value of 0.06 \(\pm\) 0.002 mol/kg. As PFLOTRAN requires the CEC in units of mol/m\(^3\) this was obtained from the formula

\[\omega = \frac{N_s}{V} = \frac{N_s}{M_s}\frac{M_s}{V_s}\frac{V_s}{V} = \density_s (1-\porosity) {\rm CEC}.\]

Using a porosity of 0.61, the solid grain density \(\density_s\) is given by

\[\density_s = \frac{\porosity \density_l}{1-\porosity} = 3.0344 \text{g/cm$^3$},\]
Breakthrough curves for Ca2+, Mg2+ and Na+ compared with experimental results from Voegelin et al. (2000).

Breakthrough curves for Ca2+, Mg2+ and Na+ compared with experimental results from Voegelin et al. (2000).

for the mass density per pore volume \(\density_l\) = 1.94 g/cm\(^3\) with values from Voegelin et al. (2000). This gives for the site density per bulk volume \(\omega = 71.004\) mol/m\(^3\). The results of the simulation are shown in Figure 2 along with data reported by Voegelin et al. (2000). Self-sharpening fronts can be observed at approximately 10 and 71 at pore volumes, and a self-broadening front from 30-55 pore volumes where agreement with experiment is not as good.

The input file for the simulation is listed in Table [tionex].

PFLOTRAN Input File

#Description: 1D ion exchange problem

SIMULATION
  SIMULATION_TYPE SUBSURFACE
  PROCESS_MODELS
    SUBSURFACE_TRANSPORT transport
      MODE GIRT
    /
  /
END

SUBSURFACE

#=========================== numerical methods ================================
NUMERICAL_METHODS TRANSPORT

  TIMESTEPPER
    TS_ACCELERATION 8
    MAX_STEPS 100000
  /

  NEWTON_SOLVER
    PRECONDITIONER_MATRIX_TYPE AIJ
    RTOL 1.d-8
    ATOL 1.d-8
    STOL 1.d-30
  /

  LINEAR_SOLVER
    SOLVER DIRECT
  /

END

SPECIFIED_VELOCITY
  UNIFORM? YES
  DATASET 5.69333e-4 0.d0 0.d0 m/yr
END

# == chemistry ================================================================
CHEMISTRY
  PRIMARY_SPECIES
    Na+
    Ca++
    #K+
    Mg++
    H+
    HCO3-
    Cl-
    Tracer
  /
  SECONDARY_SPECIES
    OH-
    CO3--
    CO2(aq)
    CaOH+
    CaCO3(aq)
    CaHCO3+
    CaCl+
    MgCO3(aq)
    MgHCO3+
    MgCl+
    HCl(aq)
    #KCl(aq)
    NaCl(aq)
    NaOH(aq)
  /
  PASSIVE_GAS_SPECIES
    CO2(g)
  /
  MINERALS
    Halite
  /
 #
  MINERAL_KINETICS
    Halite
      RATE_CONSTANT 1.e-30
    /
  /
  SORPTION
    ION_EXCHANGE_RXN
      #MINERAL Halite
      CEC 71.004  ! mol/m^3
      CATIONS
        Na+   7.94328
        Ca++  1. REFERENCE
        Mg++  1.44544
      /
    /
  /
  DATABASE ../../../database/hanford.dat
  LOG_FORMULATION
  ACTIVITY_COEFFICIENTS ! NEWTON_ITERATION
  MOLAL
  OUTPUT
  All
  FREE_ION
    TOTAL
  /
END

# == reference variables ======================================================
REFERENCE_POROSITY 0.61d0

# == discretization ===========================================================
GRID
  TYPE STRUCTURED
  NXYZ 250 1 1
  BOUNDS
    0.d0 0.d0 0.d0
    0.481d0 1.d0 1.d0
  /
END

# == fluid properties =========================================================
FLUID_PROPERTY
  DIFFUSION_COEFFICIENT 1.d-9
END

# == material properties ======================================================
MATERIAL_PROPERTY HD
  ID 1
  POROSITY 0.61
  TORTUOSITY 1.0
  #LONGITUDINAL_DISPERSIVITY 0.001
  PERMEABILITY
    PERM_ISO 5.43d-13
  /
END

# == output ===================================================================
OUTPUT
  TIMES s 10307.1 33498.2 41228.6
  PRINT_COLUMN_IDS
  PERIODIC_OBSERVATION TIMESTEP 1
  #PERIODIC TIMESTEP 1
  #PERIODIC TIME 0.04 y
  SCREEN PERIODIC 10
  #FORMAT HDF5
  FORMAT TECPLOT POINT
  #VELOCITIES
END

# == times ====================================================================
TIME
  FINAL_TIME 41228.6 s
  INITIAL_TIMESTEP_SIZE 1. s
  MAXIMUM_TIMESTEP_SIZE 20. s
  MAXIMUM_TIMESTEP_SIZE 1. s at 10200. s
  MAXIMUM_TIMESTEP_SIZE 20. s at 10350 s
  MAXIMUM_TIMESTEP_SIZE 1. s at 33300 s
  MAXIMUM_TIMESTEP_SIZE 20. s at 33600 s
END

# == regions ==================================================================
REGION all
  COORDINATES
    -1.d20 -1.d20 -1.d20
    1.d20 1.d20 1.d20
  /
END

REGION west
  FACE WEST
  COORDINATES
    0. 0. 0.
    0. 1. 1.
  /
END

REGION east
  FACE EAST
  COORDINATES
    0.481 0. 0.
    0.481 1. 1.
  /
END

OBSERVATION
  REGION east
END

# == transport conditions =====================================================
TRANSPORT_CONDITION Initial
  TYPE DIRICHLET
  CONSTRAINT_LIST
    0.d0 Initial
  /
END

TRANSPORT_CONDITION east
  TYPE DIRICHLET
  CONSTRAINT_LIST
    0.d0 Initial
  /
END

TRANSPORT_CONDITION west
  TYPE DIRICHLET
  CONSTRAINT_LIST
    0.d0    Inlet1
    10307.1 Inlet2
    33498.2 Inlet3
  /
END

# == couplers =================================================================
INITIAL_CONDITION Initial
  TRANSPORT_CONDITION Initial
  REGION all
END

BOUNDARY_CONDITION
  TRANSPORT_CONDITION west
  REGION west
END

BOUNDARY_CONDITION
  TRANSPORT_CONDITION east
  REGION east
END

# == stratigraphy =============================================================
STRATA
  MATERIAL HD
  REGION all
END

# == transport constraints ====================================================
CONSTRAINT Initial
  CONCENTRATIONS
    Na+           4.65d-3  T
    #K+            2.d-4    T
    Ca++          5.2d-3   T
    Mg++          4.55e-3  T
    H+            4.6     pH
    HCO3-        -3.5      G   CO2(g)
    Cl-           1.d-3    Z
    Tracer        4.65d-3  T
  /
  MINERALS
    Halite        0.5 1.
  /
END

CONSTRAINT Inlet1
  CONCENTRATIONS
    Na+           1.d-16  T
    #K+            1.d-10  T
    Ca++          5.3d-3  T
    Mg++          1.e-16  T
    H+            4.6    pH
    HCO3-        -3.5     G   CO2(g)
    Cl-           3.d-4   Z
    Tracer        9.4d-3  T
 /
END

CONSTRAINT Inlet2
  CONCENTRATIONS
    Na+           4.6d-3  T
    #K+            1.d-10  T
    Ca++          1.d-16  T
    Mg++          2.4e-3  T
    H+            4.6    pH
    HCO3-        -3.5     G   CO2(g)
    Cl-           3.d-4   Z
    Tracer        9.4d-3  T
  /
END

CONSTRAINT Inlet3
  CONCENTRATIONS
    Na+           4.65d-3 T
    #K+            1.d-10  T
    Ca++          5.2d-3  T
    Mg++          4.55e-3 T
    H+            4.6    pH
    HCO3-        -3.5     G   CO2(g)
    Cl-           3.d-4   Z
    Tracer        9.4d-3  T
  /
END

END_SUBSURFACE

GENERAL_REACTION Example

Problem Description

A single irreversible reaction is considered of the form

\[A + 2 B \rightarrow C,\]

for flow in a fully saturated 1D column of length 100 m with a Darcy velocity of 1 m/y, diffusion coefficient of \(10^{-9}\) m\(^2\)/s and porosity equal to 0.25. The conservation equation for advection, diffusion and reaction is given by

\[\frac{{{\partial}}}{{{\partial}}t} \porosity C_l + {\boldsymbol{\nabla}}\cdot{\boldsymbol{F}}_l = - \porosity \nu_l {{{\mathcal R}}}, \ \ \ \ (l=A,\,B,\,C),\]

with stoichiometric coefficients \(\nu_A = 1\), \(\nu_B = 2\), and \(\nu_C=-1\). The flux \({\boldsymbol{F}}_l\) consists of contributions from advection and diffusion

\[{\boldsymbol{F}}_l = {\boldsymbol{q}}C_l - \porosity D {\boldsymbol{\nabla}}C_l.\]

The forward reaction rate is based on an elementary aqueous reaction

\[{{{\mathcal R}}}= k_f C_A^{\nu_A} C_B^{\nu_B}.\]

Dividing through by porosity (assuming \(\porosity\) = constant), the transport equation becomes

\[\frac{{{\partial}}C_l}{{{\partial}}t} + {\boldsymbol{\nabla}}\cdot{\boldsymbol{v}}C_l - D {\boldsymbol{\nabla}}\cdot{\boldsymbol{\nabla}}C_l + \nu_l^{} k_{f}^{} C_A^{\nu_A} C_B^{\nu_B} = 0,\]

with average pore velocity

\[{\boldsymbol{v}}= \frac{{\boldsymbol{q}}}{\porosity}.\]

Initial and boundary conditions imposed on the solution are given by

\[C(x,t=0) = C_\infty, C(x=0,\,t) = C_0, \left.\frac{{{\partial}}C}{{{\partial}}x} \right|_{x=l_x} = 0.\]

Simulation Results

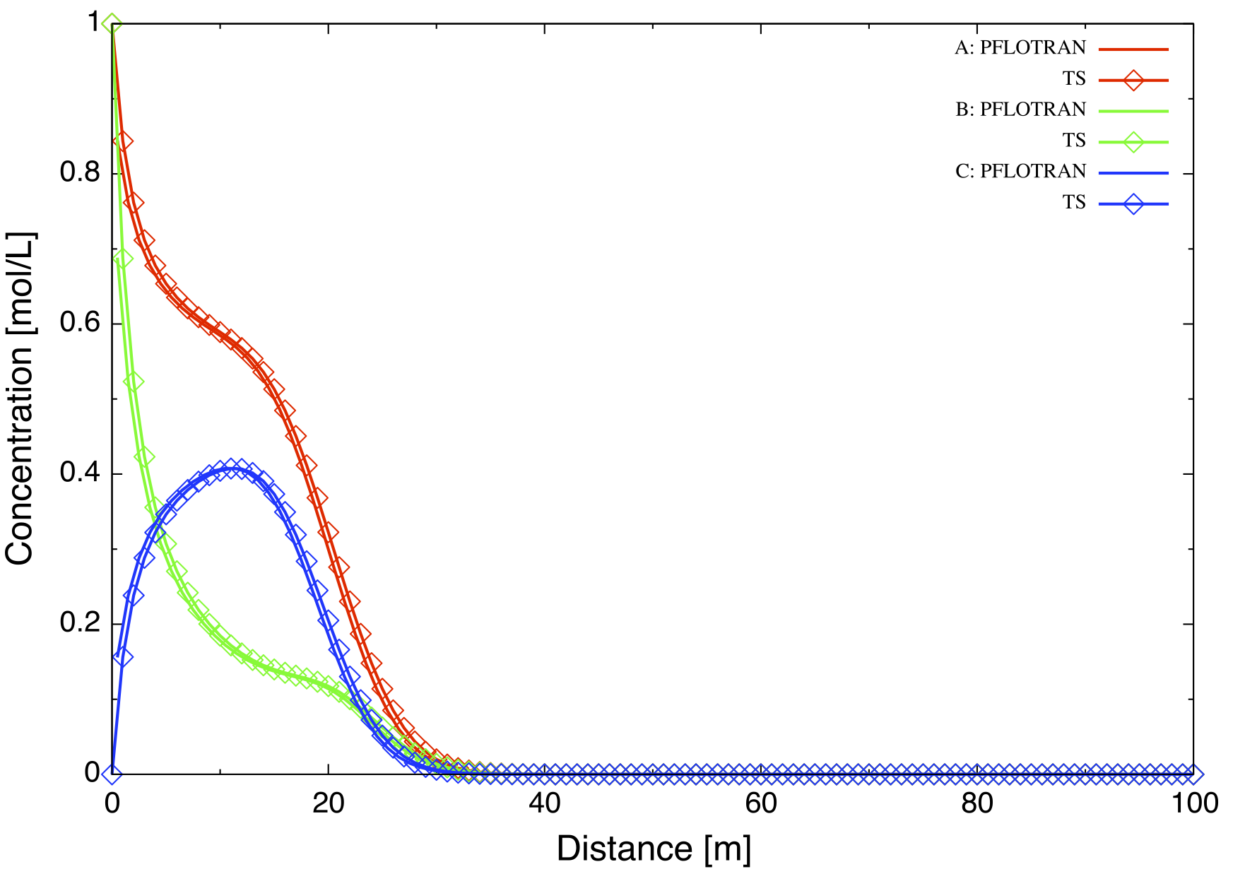
Results are shown in Figure 3 for the concentrations of species A, B, C at 5 years obtained from PFLOTRAN and a prototype code written in C++ based on the PETSc TS time stepping class. The code uses a backward Euler (TSBEULER) time integrator with nodes placed at the grid cell corners. The slight discrepancy between the results of the two codes may be due to the use of a finite volume cell-centered grid in PFLOTRAN, versus the corner-node grid used in the prototype code.

Comparison of concentrations for species A, B, C plotted as a function of distance for an elapsed time of 5 years for PFLOTRAN and a prototype code based on PETSc’s TS class.

Comparison of concentrations for species A, B, C plotted as a function of distance for an elapsed time of 5 years for PFLOTRAN and a prototype code based on PETSc’s TS class.

PFLOTRAN Input File

#Description: 1D general reaction with the aqueous reaction A + 2 B -> C.

SIMULATION
  SIMULATION_TYPE SUBSURFACE
  PROCESS_MODELS
    SUBSURFACE_TRANSPORT transport
      MODE GIRT
    /
  /
END

SUBSURFACE

#=========================== useful tranport parameters ==================
UNIFORM_VELOCITY 1.d0 0.d0 0.d0 m/yr

REFERENCE_DENSITY 1000.d0

#=========================== chemistry ========================================
CHEMISTRY
  PRIMARY_SPECIES
    A(aq)
    B(aq)
    C(aq)
  /
  GENERAL_REACTION
    REACTION A(aq) + 2 * B(aq) <-> C(aq)
    FORWARD_RATE 5.d-8
    BACKWARD_RATE 0.d0
  /
  DATABASE /Users/lichtner/pflotran/pflotran/database/hanford.dat
  OUTPUT
    all
    TOTAL
  /
END

#=========================== solver options ===================================
LINEAR_SOLVER TRANSPORT
  SOLVER DIRECT
END

#=========================== discretization ===================================
GRID
  TYPE structured
  NXYZ 100 1 1
  BOUNDS
    0.d0 0.d0 0.d0
    100.d0 100.d0 1.d0
  /
END

#=========================== fluid properties =================================
FLUID_PROPERTY
  DIFFUSION_COEFFICIENT 1.d-9
END

#=========================== material properties ==============================
MATERIAL_PROPERTY soil1
  ID 1
  POROSITY 0.25d0
  TORTUOSITY 1.d0
  ROCK_DENSITY 1650.d0
END

#=========================== output options ===================================
OUTPUT
  TIMES y 5.
  FORMAT TECPLOT POINT
END

#=========================== times ============================================
TIME
  FINAL_TIME 5.d0 y
  INITIAL_TIMESTEP_SIZE 1.d0 h
  MAXIMUM_TIMESTEP_SIZE 1.d-2 y
END

#=========================== regions ==========================================
REGION all
  COORDINATES
    0.d0 0.d0 0.d0
    100.d0 1.d0 1.d0
  /
END

REGION west
  FACE WEST
  COORDINATES
    0.d0 0.d0 0.d0
    0.d0 1.d0 1.d0
  /
END

REGION east
  FACE EAST
  COORDINATES
    100.d0 0.d0 0.d0
    100.d0 1.d0 1.d0
  /
END

#=========================== transport conditions =============================
TRANSPORT_CONDITION initial
  TYPE DIRICHLET
  CONSTRAINT_LIST
    0.d0 initial
  /
END

TRANSPORT_CONDITION inlet
  TYPE DIRICHLET
  CONSTRAINT_LIST
    0.d0 inlet
  /
END

TRANSPORT_CONDITION outlet
  TYPE ZERO_GRADIENT
  CONSTRAINT_LIST
    0.d0 inlet
  /
END

#=========================== constraints ======================================
CONSTRAINT initial
  CONCENTRATIONS
    A(aq) 1.d-16 T
    B(aq) 1.d-16 T
    C(aq) 1.d-16 T
  /
END

CONSTRAINT inlet
  CONCENTRATIONS
    A(aq) 1.d0   T
    B(aq) 1.d0   T
    C(aq) 1.d-16 T
  /
END

#=========================== condition couplers ===============================
# initial condition
INITIAL_CONDITION
  TRANSPORT_CONDITION initial
  REGION all
END

BOUNDARY_CONDITION outlet
  TRANSPORT_CONDITION outlet
  REGION east
END

BOUNDARY_CONDITION inlet
  TRANSPORT_CONDITION inlet
  REGION west
END

#=========================== stratigraphy couplers ============================
STRATA
  REGION all
  MATERIAL soil1
END

END_SUBSURFACE

RICHARDS Mode with Tracer: SX-115 Hanford Tank Farm

Problem Description

The saturation profile is computed for both steady-state and transient conditions in a 1D vertical column consisting of a layered porous medium representing the Hanford sediment in the vicinity of the S/SX tank farm. The transient case simulates a leak from the base of the SX-115 tank. This problem description is taken from Lichtner et al. (2004).

Governing Equations

The moisture profile is calculated using parameters related to the Hanford sediment at the S/SX tank farm based on the Richards equation for variably saturated porous media. The Hanford sediment is composed of five layers with the properties listed in Tables [t1] and [t2]. The governing equations consist of Richards equation for variably saturated fluid flow given by

\[\frac{{{\partial}}}{{{\partial}}t} \porosity s\density + {\boldsymbol{\nabla}}\cdot{\boldsymbol{q}}\density = Q,\]

and solute transport of a tracer

\[\frac{{{\partial}}}{{{\partial}}t}\porosity C + {\boldsymbol{\nabla}}\cdot\big({\boldsymbol{q}}C - \porosity \saturation \tortuosity D {\boldsymbol{\nabla}}C\big) = Q_C.\]

In these equations \(\porosity\) denotes the spatially variable porosity of the porous medium assumed to constant within each stratigraphic layer, \(s\) gives the saturation state of the porous medium, \(\density\) represents the fluid density in general a function of pressure and temperature, \(C\) denotes the solute concentration, \(D\) denotes the diffusion/dispersion coefficient, \(\tortuosity\) represents tortuosity, \(Q\) and \(Q_C\) denote source/sink terms, and \({\boldsymbol{q}}\) denotes the Darcy velocity defined by

\[{\boldsymbol{q}}= - \frac{k_{\rm sat}k_r}{\mu} {\boldsymbol{\nabla}}(p-\density g z),\]

with saturated permeability \(k_{\rm sat}\), relative permeability \(k_r\), fluid viscosity \(\mu\), pressure \(p\), formula weight of water \(W\), acceleration of gravity \(g\), and height \(z\). Van Genuchten capillary properties are used for relative relative permeability according to the relation

(1)\[k_{r} = \sqrt{s_{\rm eff}} \left\{1 - \left[1- \left( \saturation_l^{\rm eff} \right)^{1/m} \right]^m \right\}^2,\]

where \(s_{\rm eff}\) is related to capillary pressure \(P_c\) by the equation

(2)\[\saturation_{\rm eff} = \left[1+\left( \alpha |P_c| \right)^n \right]^{-m},\]

where \(s_{\rm eff}\) is defined by

(3)\[\saturation_{\rm eff} = \frac{s - \saturation_r}{1 - \saturation_r},\]

and where \(s_r\) denotes the residual saturation. The quantity \(n\) is related to \(m\) by the expression

(4)\[m = 1-\frac{1}{n}, \ \ \ \ \ n = \frac{1}{1-m}.\]

The capillary pressure \(P_c\) and fluid pressure \(p\) are related by the (constant) gas pressure \(p_g^0\)

\[P_c = p_g^0-p,\]

where \(p_g^0 = 101,325\) Pa is set to atmospheric pressure.

Semi-Analytical Solution for Steady-State Conditions

For steady-state conditions the saturation profile satisfies the equation

\[\frac{d}{dz} \density q_z = 0,\]

or assuming an incompressible fluid

\[q_z = q_z^0,\]

where \(q_z^0\) denotes infiltration at the surface. Thus the pressure is obtained as a function of \(z\) by solving the ODE

(5)\[\frac{dp}{dz} = -\frac{\mu q_z^0}{k_{\rm sat} k_r} - \density g,\]

using Eqns. (1) and (2) to express the relative permeability \(k_r\) as a function of pressure. For the special case of zero infiltration it follows that

\[p(z) = p_0 - \density g (z-z_0),\]

with \(p(z_0) = p_0\). The saturation profile is obtained from Eqns. (2) and (3).

Watertable

The position of the watertable is defined by vanishing of the capillary pressure

\[P_c(z_{\rm wt}) = 0,\]

where \(z_{\rm wt}\) denotes the height of the watertable. For the case with no infiltration at the surface it follows that

\[z_{\rm wt} = z_0 + \frac{p_0-p_g}{\density g},\]

with the boundary condition \(p(z_0) = p_0\) and \(z_0\) denotes the datum. If \(p_0\) is set equal to \(p_g\), then \(z_{\rm wt} = z_0\), or the height of the watertable is equal to the datum. The same holds true also with constant nonzero infiltration.

Model Parameters

Model parameters used in the simulations are listed in Table 1 and Table 2. Although not needed here, thermal properties are also listed. Diffusivity was set to \(10^{-9}\) m\(^2\) s\(^{-1}\) and tortuosity was set to one.

Stratigraphic sequence used in the calculations, after Ward et al. (1996).

Formation

Abbrev.

Thickness [m]

Backfill

BF

16.0

Hanford Fine Sand

HF

23.0

Plio-Pleistocene

PP

6.0

Upper Ringold Gravel

URG

3.0

Middle Ringold Gravel

MRG

20.0



Parameters for material and thermal properties for intrinsic rock density \(\density_s\), heat capacity \(c\), wet and dry thermal conductivity \(\kappa\), porosity \(\porosity\), residual water saturation \(s_r\), van Genuchten parameters \(\alpha\) and \(\lambda\), and vertical water saturated permeability \(k_{\rm sat}\). Data taken from Khaleel and Freeman (1995), Khaleel et al. (2001), and Pruess et al. (2002).

Formation:

Property

[units]

BF

HF

PP

URG

MRG

\(\density_s\)

[g cm\(^{-3}\)]

2.8

2.8

2.8

2.8

2.8

\(c\)

[J kg\(^{-1}\) K\(^{-1}\)]

800

800

800

800

800

\(\kappa_{\rm dry}\)

[W m\(^{-1}\) K\(^{-1}\)]

0.5

0.5

0.5

0.5

0.5

\(\kappa_{\rm wet}\)

[W m\(^{-1}\) K\(^{-1}\)]

2

2

2

2

2

\(\porosity\)

[—]

0.2585

0.3586

0.4223

0.2625

0.1643

\(s_r\)

[—]

0.0774

0.0837

0.2595

0.2130

0.0609

\(\alpha\)

[Pa\(^{-1}\)]

1.008e-3

9.408e-5

6.851e-5

2.966e-5

6.340e-5

\(m\)

[—]

0.658

0.4694

0.4559

0.3859

0.3922

\(k_{\mathrm{sat}}\)

[ m\(^2\)]

1.240e-12

3.370e-13

3.735e-14

1.439e-13

2.004e-13

Simulation Results

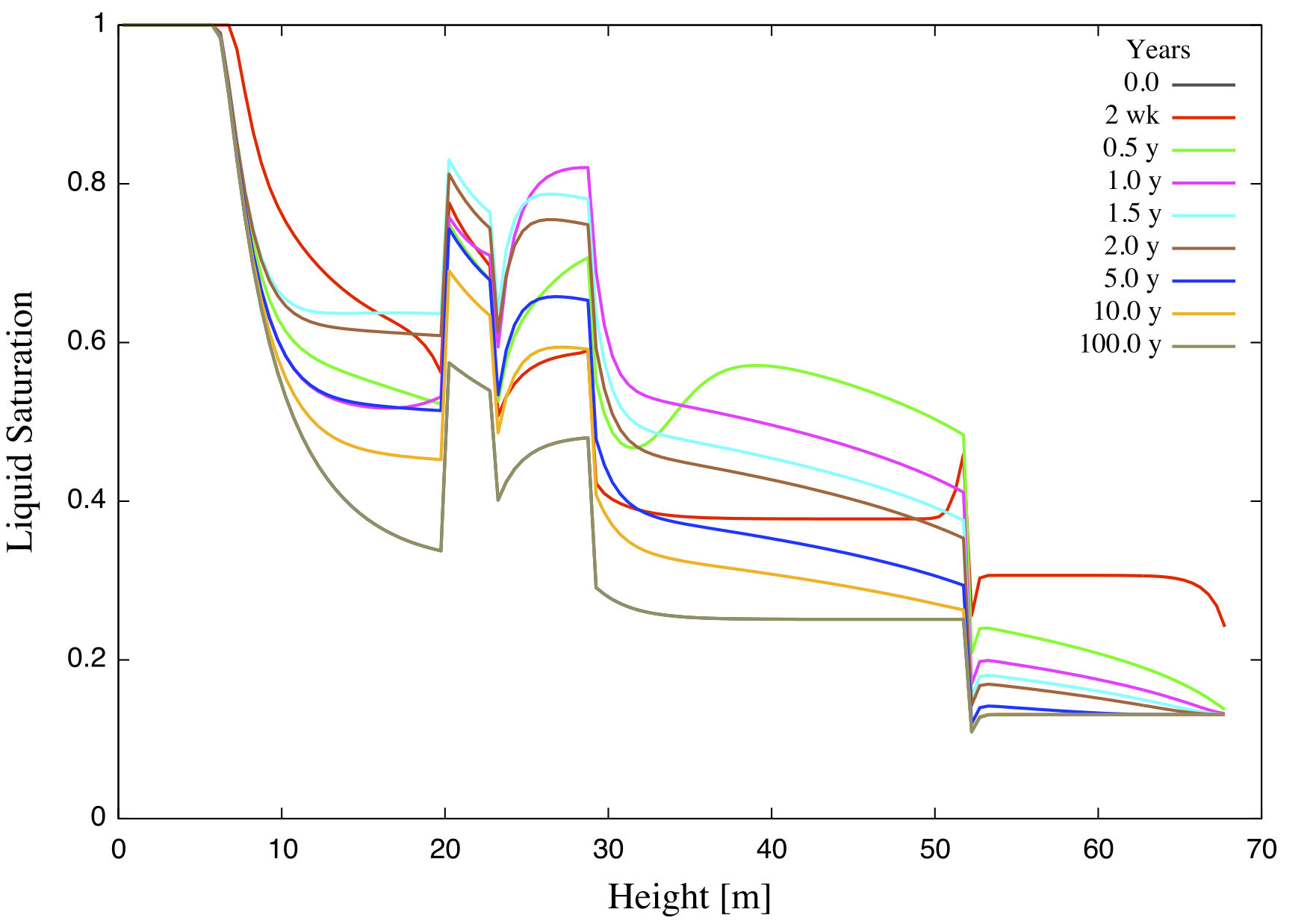
The calculations are carried out for an isothermal system using Richards equation. First, the steady-state saturation profile is obtained without the tank leak present. Then using the steady-state profile as the initial condition the tank leak is turned on. This can be easily accomplished using CHECKPOINTING and RESTART keywords. The results for the steady-state saturation and pressure profiles are shown in Figure 4 for infiltration rates at the surface of 0, 8 and 80 mm/y. The mean infiltration rate at the Hanford site is approximately 8 mm/y. A 1D column 68 m heigh with the water table located at a height of 6 m from the bottom is used in the simulation. A uniform grid spacing of 0.5 m is used to discretize Richards equation.

Shown in Figure 5 is the saturation at different times following a two week leak releasing 60,000 gallons from the SX-115 tank at a depth of 16 m. In the simulation a release rate of \(1.87 \times 10^{-3}\) kg/s is used.

Steady-state saturation and pressure profiles for infiltration rates of 0, 8 and 80 mm/y. The water table is located at 6 m from the bottom of the computational domain.

Steady-state saturation and pressure profiles for infiltration rates of 0, 8 and 80 mm/y. The water table is located at 6 m from the bottom of the computational domain.

Simulation of a tank leak with a duration of two weeks showing the saturation profile for different times indicated in the figure for an infiltration rate of 8 mm/y.

Simulation of a tank leak with a duration of two weeks showing the saturation profile for different times indicated in the figure for an infiltration rate of 8 mm/y.

The solute concentration profile corresponding to the above figure for different times indicated in the figure for an infiltration rate of 8 mm/y.

The solute concentration profile corresponding to the above figure for different times indicated in the figure for an infiltration rate of 8 mm/y.

PFLOTRAN Input File

Listing for the PFLOTRAN input file coupling Richards mode to a tracer is given below. Note that the stratigraphic zone specification in REGION is grid independent as is the grid size specification in keyword GRID. Therefore to change the grid spacing only the line:NXYZ 1 1 136, needs to be changed. Also note that lines beginning with # are read as a comment as is input following !.

Note that the input file looks for the RESTART file for the transient run in the subdirectory: ./ss/sx115-restart.chk.

PFLOTRAN input file sx115.in:

#Description: 1D test problem for tracer transport for Hanford SX-115 waste tank.

SIMULATION
  SIMULATION_TYPE SUBSURFACE
  PROCESS_MODELS
    SUBSURFACE_FLOW flow
      MODE RICHARDS
    /
    SUBSURFACE_TRANSPORT transport
      MODE GIRT
    /
  /
END

SUBSURFACE

#=========================== chemistry ========================================
CHEMISTRY
  PRIMARY_SPECIES
    Tracer
  /
  OUTPUT
    all
    FREE_ION
  /
END

#=========================== runtime ==========================================
#CHECKPOINT 100000
RESTART ./ss/sx115-restart.chk 0.d0
#OVERWRITE_RESTART_TRANSPORT
#WALLCLOCK_STOP 11.75

#=========================== solver options ===================================
TIMESTEPPER FLOW
  #MAX_STEPS -1
  TS_ACCELERATION 8
  INITIALIZE_TO_STEADY_STATE 1.d0
END

NEWTON_SOLVER FLOW
  #RTOL 1.d-12
  RTOL 1.d-20
  #ATOL 1.d-12
  #STOL 1.e-60
  #DTOL 1.e4
  ITOL_UPDATE 1.d0
  #NO_INFINITY_NORM
  #NO_PRINT_CONVERGENCE
  #PRINT_DETAILED_CONVERGENCE
END

LINEAR_SOLVER FLOW
  #KSP_TYPE GMRES
  #PC_TYPE NONE
  #KSP_TYPE PREONLY
  #PC_TYPE LU
  #SOLVER GMRES
END

NEWTON_SOLVER TRANSPORT
  RTOL 1.d-12
  ATOL 1.d-12
  STOL 1.e-60
  DTOL 1.e4
  #ITOL_UPDATE 1.d-4
  #NO_INFINITY_NORM
  #NO_PRINT_CONVERGENCE
  #PRINT_DETAILED_CONVERGENCE
END

LINEAR_SOLVER TRANSPORT
  #KSP_TYPE GMRES
  #PC_TYPE NONE
  #KSP_TYPE PREONLY
  #PC_TYPE LU
  #SOLVER GMRES
END

#=========================== discretization ===================================
GRID
  TYPE structured
  ORIGIN 0.d0 0.d0 0.d0
  NXYZ 1 1 136
  BOUNDS
    0.d0 0.d0 0.d0
    1.d0 1.d0 68.d0
  /
END

#=========================== fluid properties =================================
FLUID_PROPERTY
  DIFFUSION_COEFFICIENT 1.d-9
END

#=========================== material properties ==============================
MATERIAL_PROPERTY Backfill
  ID 1
  POROSITY 0.2585d0
  TORTUOSITY 0.5d0
  SATURATION_FUNCTION BF
  PERMEABILITY
    PERM_X 1.24e-12
    PERM_Y 1.24e-12
    PERM_Z 1.24e-12
  /
END

MATERIAL_PROPERTY Hanford-Fine-Sand
  ID 2
  POROSITY 0.3586
  TORTUOSITY 0.5d0
  SATURATION_FUNCTION HF
  PERMEABILITY
    PERM_X 3.37028e-13
    PERM_Y 3.37028e-13
    PERM_Z 3.37028e-13
  /
END

MATERIAL_PROPERTY Plio-Pleistocene
  ID 3
  POROSITY 0.4223d0
  TORTUOSITY 0.5d0
  SATURATION_FUNCTION PP
  PERMEABILITY
    PERM_X 3.73463e-14
    PERM_Y 3.73463e-14
    PERM_Z 3.73463e-14
  /
END

MATERIAL_PROPERTY Upper-Ringold-Gravel
  ID 4
  POROSITY 0.2625d0
  TORTUOSITY 0.5d0
  SATURATION_FUNCTION URG
  PERMEABILITY
    PERM_X 1.4392e-13
    PERM_Y 1.4392e-13
    PERM_Z 1.4392e-13
  /
END

MATERIAL_PROPERTY Middle-Ringold-Gravel
  ID 5
  POROSITY 0.1643
  TORTUOSITY 0.5d0
  SATURATION_FUNCTION MRG
  PERMEABILITY
    PERM_X 2.00395e-13
    PERM_Y 2.00395e-13
    PERM_Z 2.00395e-13
  /
END

#=========================== saturation functions =============================

CHARACTERISTIC_CURVES BF
  SATURATION_FUNCTION VAN_GENUCHTEN
    M 0.6585d0
    ALPHA  1.008d-3
    LIQUID_RESIDUAL_SATURATION 0.0774
  /
  PERMEABILITY_FUNCTION MUALEM_VG_LIQ
    M 0.6585d0
    LIQUID_RESIDUAL_SATURATION 0.0774
  /
END

CHARACTERISTIC_CURVES HF
  SATURATION_FUNCTION VAN_GENUCHTEN
    M 0.46944d0
    ALPHA  9.40796d-5
    LIQUID_RESIDUAL_SATURATION 0.08366d0
  /
  PERMEABILITY_FUNCTION MUALEM_VG_LIQ
    M 0.46944d0
    LIQUID_RESIDUAL_SATURATION 0.08366d0
  /
END

CHARACTERISTIC_CURVES PP
  SATURATION_FUNCTION VAN_GENUCHTEN
    M 0.45587d0
    ALPHA  6.85145d-5
    LIQUID_RESIDUAL_SATURATION 0.25953d0
  /
  PERMEABILITY_FUNCTION MUALEM_VG_LIQ
    M 0.45587d0
    LIQUID_RESIDUAL_SATURATION 0.25953d0
  /
END

CHARACTERISTIC_CURVES URG
  SATURATION_FUNCTION VAN_GENUCHTEN
    M 0.38594d0
    ALPHA  2.96555d-5
    LIQUID_RESIDUAL_SATURATION 0.21295d0
  /
  PERMEABILITY_FUNCTION MUALEM_VG_LIQ
    M 0.38594d0
    LIQUID_RESIDUAL_SATURATION 0.21295d0
  /
END

CHARACTERISTIC_CURVES MRG
  SATURATION_FUNCTION VAN_GENUCHTEN
    M 0.39217d0
    ALPHA  6.34015e-5
    LIQUID_RESIDUAL_SATURATION 0.06086d0
  /
  PERMEABILITY_FUNCTION MUALEM_VG_LIQ
    M 0.39217d0
    LIQUID_RESIDUAL_SATURATION 0.06086d0
  /
END


#=========================== output options ===================================
OUTPUT
  #SCREEN PERIODIC 10
  #MASS_BALANCE
  TIMES y 0.0383562 0.5 1.0 1.5 2.0 5.0 10.0 25. 50. 75. 100.
  FORMAT TECPLOT POINT
# VELOCITIES
  PRINT_COLUMN_IDS
  PERIODIC_OBSERVATION TIMESTEP 1
END

#=========================== times ============================================
TIME
  FINAL_TIME 100.d0 y
  INITIAL_TIMESTEP_SIZE 1.d-6 y
  MAXIMUM_TIMESTEP_SIZE 1.d-2 y
  MAXIMUM_TIMESTEP_SIZE 1.d0 y at 10 y
  MAXIMUM_TIMESTEP_SIZE 10.d0 y at 100 y
END

#=========================== regions ==========================================
REGION all
  COORDINATES
    0.d0 0.d0 0.d0
    1.d0 1.d0 136.d0
  /
END

REGION MRG
  COORDINATES
    0.d0 0.d0 0.d0
    1.d0 1.d0 20.d0
  /
END

REGION URG
  COORDINATES
    0.d0 0.d0 20.d0
    1.d0 1.d0 23.d0
  /
END

REGION PP
  COORDINATES
    0.d0 0.d0 23.d0
    1.d0 1.d0 29.d0
  /
END

REGION HF
  COORDINATES
    0.d0 0.d0 29.d0
    1.d0 1.d0 52.d0
  /
END

REGION BF
  COORDINATES
    0.d0 0.d0 52.d0
    1.d0 1.d0 68.d0
  /
END

#=============boundaries=================

REGION west
  FACE WEST
  COORDINATES
    0.d0 0.d0 0.d0
    0.d0 1.d0 68.d0
  /
END

REGION east
  FACE EAST
  COORDINATES
    1.d0 0.d0 0.d0
    1.d0 1.d0 68.d0
  /
END

REGION north
  FACE NORTH
  COORDINATES
    0.d0 1.d0 0.d0
    1.d0 1.d0 68.d0
  /
END

REGION south
  FACE SOUTH
  COORDINATES
    0.d0 0.d0 0.d0
    1.d0 0.d0 68.d0
  /
END

REGION top
  FACE TOP
  COORDINATES
    0.d0 0.d0 68.d0
    1.d0 1.d0 68.d0
  /
END

REGION bottom
  FACE BOTTOM
  COORDINATES
    0.d0 0.d0 0.d0
    1.d0 1.d0 0.d0
  /
END

REGION well
  COORDINATES
    1.d0 1.d0 52.d0
    1.d0 1.d0 52.d0
  /
END

#=========================== flow conditions ==================================
FLOW_CONDITION initial
  TYPE
    LIQUID_PRESSURE HYDROSTATIC
  /
  DATUM 0.d0 0.d0 6.d0
  LIQUID_PRESSURE 101325.d0
END

FLOW_CONDITION infiltration
  TYPE
    LIQUID_FLUX NEUMANN
  /
# LIQUID_FLUX 2.53678e-8 ! 0.08 m/yr
# LIQUID_FLUX 2.53678e-9 ! 0.08 m/yr
  LIQUID_FLUX 2.53678e-10 ! 8 mm/yr
# LIQUID_FLUX 0.d0
END

FLOW_CONDITION water_table
  TYPE
    LIQUID_PRESSURE HYDROSTATIC
  /
  DATUM 0.d0 0.d0 6.d0
  LIQUID_PRESSURE 101325.d0
  #PRESSURE 1.4e5 ! 200 meter piezometric head (200*997.32*9.81)
END

FLOW_CONDITION source
  TYPE
    RATE mass_rate
  /
  RATE LIST
  TIME_UNITS s
  DATA_UNITS kg/s
  0.  0.187e-4
  1.21293e6 0.
  /
END

#=========================== transport conditions =============================
TRANSPORT_CONDITION initial
  TYPE ZERO_GRADIENT
  CONSTRAINT_LIST
    0.d0 initial
  /
END

TRANSPORT_CONDITION boundary
  TYPE ZERO_GRADIENT
  CONSTRAINT_LIST
    0.d0 initial
  /
END

TRANSPORT_CONDITION infiltration
  TYPE DIRICHLET
  CONSTRAINT_LIST
    0.d0 infiltration
  /
END

TRANSPORT_CONDITION source
  TYPE DIRICHLET
  CONSTRAINT_LIST
    0.d0 well
  /
/

#=========================== condition couplers ===============================
# initial condition
INITIAL_CONDITION
  FLOW_CONDITION initial
  TRANSPORT_CONDITION initial
  REGION all
END

# top boundary condition
BOUNDARY_CONDITION top
  #FLOW_CONDITION initial
  FLOW_CONDITION infiltration
  TRANSPORT_CONDITION initial
  REGION top
END

# bottom boundary condition
BOUNDARY_CONDITION bottom
  FLOW_CONDITION water_table
  TRANSPORT_CONDITION initial
  REGION bottom
END

# well source/sink
#skip
SOURCE_SINK well
  FLOW_CONDITION source
  TRANSPORT_CONDITION source
  REGION well
END
#noskip

# infiltration source/sink
skip
SOURCE_SINK infil
  FLOW_CONDITION infiltration
  TRANSPORT_CONDITION infiltration
  REGION top
END
noskip

#=========================== stratigraphy couplers ============================
STRATA
  REGION MRG
  MATERIAL Middle-Ringold-Gravel
END

STRATA
  REGION URG
  MATERIAL Upper-Ringold-Gravel
END

STRATA
  REGION PP
  MATERIAL Plio-Pleistocene
END

STRATA
  REGION HF
  MATERIAL Hanford-Fine-Sand
END

STRATA
  REGION BF
  MATERIAL Backfill
END

skip
STRATA
  REGION all
  MATERIAL Middle-Ringold-Gravel
END
noskip

#=========================== constraints ======================================

CONSTRAINT well
  CONCENTRATIONS
    Tracer 1.d0 T
  /
END

CONSTRAINT infiltration
  CONCENTRATIONS
    Tracer 1.d0 T
  /
END

CONSTRAINT initial
  CONCENTRATIONS
    Tracer 1.d-16 T
  /
END

END_SUBSURFACE

MPHASE

\(\mathrm{CO_2}\) Sequestration: 1D Example Problem and Comparison with TOUGHREACT

This example problem involves sequentially coupling of MPHASE and CHEMISTRY. The chemical system consists of four primary species and 5 secondary species. Supercritical \(\mathrm{CO_2}\) is injected into a well located at the west boundary. A Dirichlet pressure boundary condition is imposed at the east boundary and no flow at the west boundary. The problem definition with associated parameters is given in Table [tco2].

Description

Symbol

Value

Domain

\(l\)

100 m

Permeability

\(k\)

\(10^{-15}\) m\(^2\)

Porosity

\(\porosity\)

0.12

Tortuosity

\(\tortuosity\)

1

Injection Rate

\(Q_{{\rm CO_2}}\)

\(5\times 10^{-5}\) kg/s, duration 0.4 y

Characteristic Curves

modified van Genuchten

[see Eqns. (6) - (7)]

\(\lambda\)

0.6

\({{\alpha}}\)

\(1.9 \times 10^{-5}\) Pa\(^{-1}\)

\(s_{rl}\)

0

\(s_{rg}\)

0

\(P_c^{\rm max}\)

\(10^7\) Pa

Rock Density

\(\density_r\)

2650 kg/m\(^3\)

Rock Specific Heat

\(c_r\)

1000 J/kg/K

Rock Thermal Conductivity

\(\kappa_{\rm wet,\,dry}\)

0.5 W/m/K

Table: Problem definition and parameters used in the 1D \(\mathrm{CO_2}\) sequestration example.

The PFLOTRAN initial aqueous solution corresponds to a brine with NaCl concentration of 0.5 m. Mineral reactions are not considered. The initial fluid composition taken from pflotran.out is listed in Table [tinitial_co2].

Transport Condition: Initial

iterations: 20

pH: 5.0273

ionic strength: 4.7915E-01 [mol/L]

charge balance: 1.1102E-16

pressure: 1.6450E+07 [Pa]

temperature: 54.50 [C]

density H2O: 992.99 [kg/m^3]

ln / activity H2O: 0.0000E+00 1.0000E+00 [—]

mole fraction H2O: 9.8093E-01 [—]

mass fraction H2O: 9.7160E-01 [—]

primary species

free molal

total molal

act coef

constraint

H+

1.1727E-05

2.5844E-17

8.0079E-01

chrg

Na+

4.7913E-01

5.0000E-01

6.8288E-01

total aq

Cl-

4.7913E-01

5.0000E-01

6.4459E-01

total aq

CO2(aq)

1.1380E-04

1.2551E-04

1.1053E+00

CO2(g)

complex

molality

act coef

logK

NaCl(aq)

2.0866E-02

1.0000E+00

6.8511E-01

HCO3-

1.1713E-05

6.8288E-01

6.2239E+00

OH-

1.2056E-08

6.6467E-01

1.3123E+01

NaOH(aq)

1.6487E-09

1.0000E+00

1.3325E+01

CO3–

3.2433E-10

2.0899E-01

1.6323E+01

The defining equations for the saturation and relative permeability functions for the aqueous solution and supercritical \(\mathrm{CO_2}\) are given by the van Genuchten -Corey relations. For the aqueous solution van Genuchten curves are used for capillary pressure \(P_c\)

(6)\[P_c(s_e) = \frac{1}{{{\alpha}}}\Big[\big(s_e\big)^{-1/\lambda} -1\big]^{1-\lambda},\]

and relative permeability \(k_{rl}\)

\[k_{rl} = \sqrt{s_e}\left\{1-\left[1-\big( \saturation_e \big)^{1/\lambda}\right]^\lambda\right\}^2,\]

with effective saturation \(s_e\) defined by

\[\saturation_e = \frac{s_l - \saturation_{lr}}{1-s_{lr}}.\]

For the supercritical \(\mathrm{CO_2}\) phase the Corey curve is used defined by

\[k_{rg} = \big(1-s'\big)^2 \big[1-(s')^2\big],\]

with

(7)\[s' = \frac{s_l-s_{lr}}{1-s_{lr}-s_{gr}}.\]

Shown in Figure 6 is a comparison of PFLOTRAN with TOUGHREACT (TOUGHREACT results provided by Alt-Epping and Wanner, private communication). The same thermodynamic database is used for both codes. Only slight differences can be seen. The \(\mathrm{CO_2}\) aqueous and total concentrations are essentially identical for PFLOTRAN in the low pH region where supercritical \(\mathrm{CO_2}\) is present, with slight differences for TOUGHREACT.

Comparison with TOUGHREACT (dashed curves) and PFLOTRAN (solid curves) after an elapsed time of 0.4 y corresponding to the end of injection. Reasonable agreement is obtained between the two codes.

Comparison with TOUGHREACT (dashed curves) and PFLOTRAN (solid curves) after an elapsed time of 0.4 y corresponding to the end of injection. Reasonable agreement is obtained between the two codes.

Liquid (blue curve) and supercritical :math:`\mathrm{CO_2}` (red curve) pressures predicted by PFLOTRAN after an elapsed time of 0.4 y corresponding to the end of injection. Also shown is the :math:`\mathrm{CO_2}` saturation (green curve).

Liquid (blue curve) and supercritical \(\mathrm{CO_2}\) (red curve) pressures predicted by PFLOTRAN after an elapsed time of 0.4 y corresponding to the end of injection. Also shown is the \(\mathrm{CO_2}\) saturation (green curve).

Note that the \(\mathrm{CO_2}\) aqueous concentration (and mole fraction \(X_{\rm CO_2}\) although not visible in the figure) obtained from PFLOTRAN is not exactly constant. This is caused, presumably, by a change in pressure as shown in Figure 7 for the liquid and \(\mathrm{CO_2}\) pressures in addition to the \(\mathrm{CO_2}\) saturation \(s_{\rm CO_2}\).

\(\mathrm{CO_2}\) Sequestration in the Presence of a Leaky Well

The simulation domain has a lateral extent of \(1,000\times 1,000\) m and vertical height of 160 m. The leaky well is at the center of the domain and the injection well is 100 m east. There are two aquifers at the top and bottom of the domain, each 30 m thick, and an aquitard with thickness of 100 m sandwiched between the two aquifers. The leaky well is modeled as a porous medium with a higher permeability compared to the formation. Parameter values used in the simulation are listed in Table [tleaky_params]. Other parameters used for characteristic curves, heat conduction, etc. may be found in the input file listing (see Table [tleaky-co2in]).

The initial conditions consist of hydrostatic pressure, and isothermal temperature of 34\(^\circ\)C. The initial pressure at the bottom of the domain is \(3.086\times 10^7\) Pa (at 3,000 m depth). At the lateral boundaries, hydrostatic boundary conditions are imposed on the system. The boundaries at the top and bottom of the domain are no flow boundary conditions. \(\mathrm{CO_2}\) is injected at a constant rate of 8.87 kg/s for the duration of the simulation of 1000 days and at a constant temperature of 33.6\(^\circ\)C.

The computational domain was discretized into \(200 \times 200 \times 32\) grid blocks with spacing \(\Delta x = \Delta y = 5\) m, and \(\Delta z = 5\) m. The total number of degrees of freedom are 3,840,000. The problem was run on 512 processes on the supercomputer Yellowstone at the NCAR-Wyoming Supercomputing Center.

Unit

Permeability [m:math:^2]

Porosity [—]

Depth [m]

Aquifer

\(2 \times 10^{-14}\)

0.15

0–30, 130–160

Aquitard

\(1 \times 10^{-18}\)

0.15

30–130

Leaky well

\(1 \times 10^{-12}\)

0.15

0–160

Table: Model parameters.

Results of the simulation for an elapsed time of 250 days are shown in Figure 8 for liquid pressure and saturation of supercritical CO2. Supercritical CO2 proceeds up the leaky well until it ponds at the top of the domain where a closed boundary is imposed.

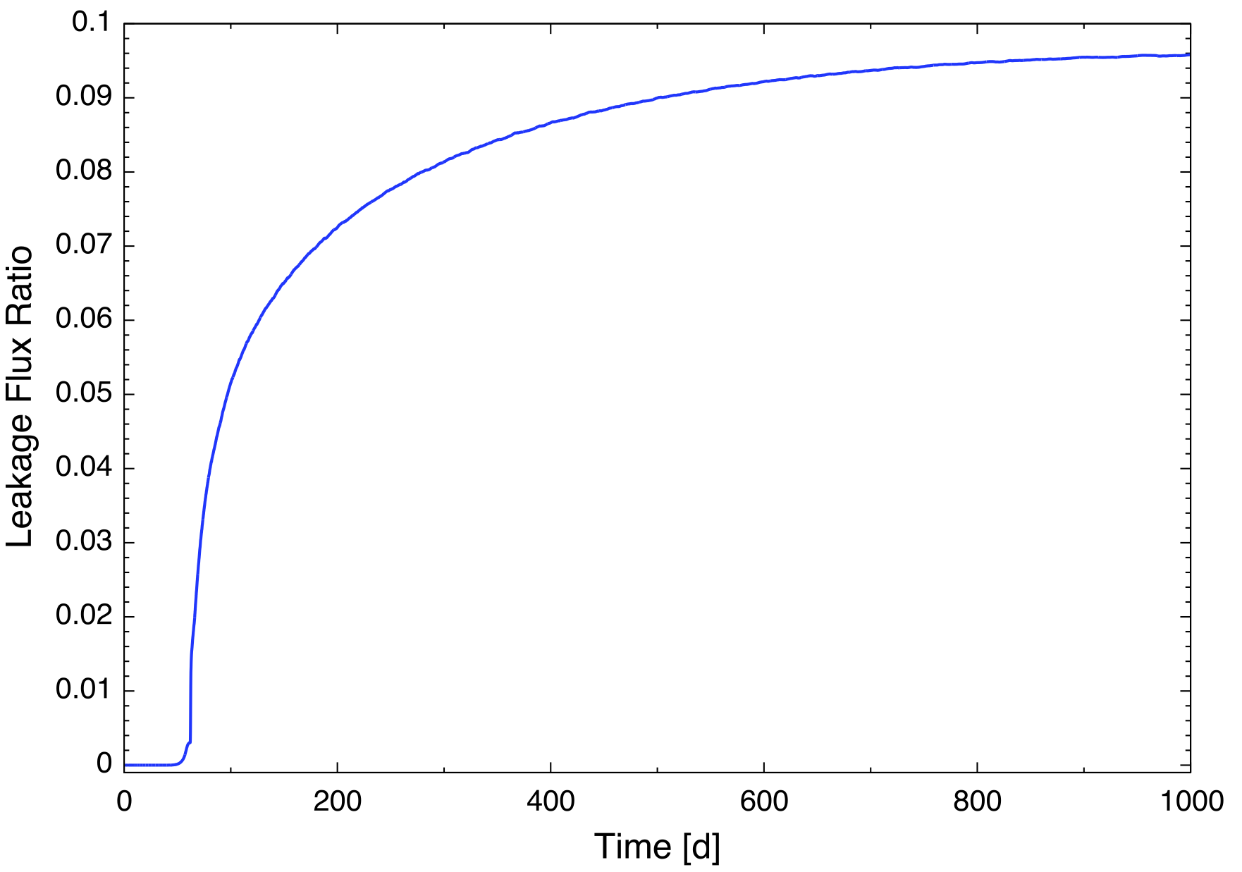
The leakage of CO2 through the leaky well as a function of time is shown in Figure 9. This is defined as the CO2 mass flow midway between the top and bottom domain divided by the injection rate. The maximum value in the leak occurs at approximately 800 d. The leak begins at approximately 50 d. The results can be compared to Ebigo et al. (2007), Figure 8. It should be noted that the leakage rate is highly sensitive to the lateral grid spacing.

Leakage rate relative to injection rate.

Leakage rate relative to injection rate.

Pressure supercritical CO\ :sub:`2` saturation, for an elapsed time of 250 days.